网站首页  词典首页


请输入您要查询的字词:

 

字词 大叶蛇总管
类别 中英文字词句释义及详细解析
释义 大叶蛇总管

【名称出处】:《广西中草药》

【概况】:

异名 藿香(《南京民间药草》)。

基源 为唇形科香茶菜属植物显脉香茶菜的全草。

原植物 显脉香茶菜Rabdosia nervosa(Hemsl.)C.Y.Wu etH.W.L1(Plectranthus nervosus Hemsl.;Isodon nervosus(Hemsl.) Kudo;Plectranthus moslifolius Lévl),又名蓝花柴胡(广西),山薄荷、铁菱角(浙江)。

形态 多年生草本,高达1m。根茎稍膨大,呈结节块状,其上生出多数纤细须根。

茎自根茎生出,幼时被柔毛,老时变无毛。叶片披针形至狭披针形,长3.5~13cm,宽1~2cm,基部狭楔形,边缘有具胼胝尖的粗浅齿。聚伞花序5~9花,具长5~8mm的总梗,于茎顶组成疏散的圆锥花序,花梗与总梗及序轴均密被微柔毛;花萼紫色,钟形,萼齿5,近相等,披针形锐尖,与萼筒等长;花冠蓝色,长6~8mm,近基部上方成浅囊状,冠檐二唇形,上唇4等裂,裂片长圆形,下唇舟形;雄蕊4,2强,花柱伸出于花冠外;花盘盘状。小坚果卵圆形,长1~1.5mm,宽约1mm。顶端被微柔毛。花期7~10月,果期8~11月。

(图见《中国高等植物图鉴》.第3册.699页.图5352)

生境与分布 生于海拔60~1000m的山谷、草丛或林下荫处。分布于河南、陕西、江苏、安徽、浙江、江西、湖北、广东、广西、四川、贵州。

。【生药】:

采集 7~9月采收,除去杂质,晒干或鲜用。

贮藏 置阴凉干燥处,防霉。

【化学】:

主要活性成分为具细胞毒作用的二萜类化合物。

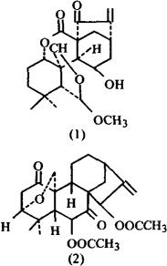
有Effusanin A、Effusa nin E[1]、Odonicin[2]以及显脉香茶菜素(Nervosin)(1)[2]和新香茶菜素(Neorabdosin)(2)[3]。此外还含乌苏酸、棕榈酸、β-谷甾醇。和齐墩果酸[1]

参考文献 [1] 中草药 1985;16(2):51 [2] 云南植物研究 1983:5:311 [3] 化学学报 1985;43(5):481

。【药性】:

性味 苦,寒。

功效 清热解毒,除湿消肿。

主治 急性传染性肝炎,疮毒湿疹,皮肤瘙痒,毒蛇咬伤。

❶ 《南京民间药草》:“舒气,助消化。”
❷ 《浙江中药资源名录》:“治风毒及流注。”
❸ 《广西中草药》:“清热解毒,除湿消肿。”

用法用量 内服;煎汤,15~60g。

外用:煎水洗。

。【临床应用】:

单方应用 ❶ 《广西中草药》:“治急性传染性肝炎、毒蛇咬伤:大叶蛇总管15~60g,水煎服。”
❷ 《广西中草药》:“治脓疱疮,湿疹,皮肤痒:鲜大叶蛇总管,水煎洗患处。”

随便看

 

离鸟网收录3541549条中英文词条,其功能与新华字典、现代汉语词典、牛津高阶英汉词典等各类中英文词典类似,基本涵盖了全部常用中英文字词句的读音、释义及用法,是语言学习和写作的有利工具。

 

Copyright © 2004-2024 vtrois.com All Rights Reserved
更新时间:2026/4/8 19:17:29