网站首页  词典首页


请输入您要查询的字词:

 

字词 大巢菜
类别 中英文字词句释义及详细解析
释义 大巢菜

【名称出处】:《纲目》

【概况】:

异名 薇菜、巢菜、野豌豆(《品汇精要》),野麻豌(《草木便方》)。

肥田草(《贵州草药》)。

基源 为豆科野豌豆属植物救荒野豌豆的全草。野豌豆属全世界约150种,中国约45种。

原植物 救荒野豌豆Vicia sattva L.,又名箭舌野豌豆(《植物学大辞典》),春巢菜、野菜豆、苕子(《中国主要植物图说.豆科》)。

历史 本品始载于《纲目》,谓:“薇,生麦田中,原泽亦有。……即今野豌豆。

蜀人谓之巢菜。项氏云:巢菜有大小二种,大者即薇,乃野豌豆之不实者,小者即苏东坡所谓元修菜。

”《植物名实图考》载:“野豌豆生园圃中,田陇陂泽尤肥,结角长半寸许,豆可为粉,与薇一类而分大小。”其附图即今之小巢菜,巢亦为苕。

土名苕子(民间)。

形态 一年生草本,高20~80cm。

茎借卷须攀援上升,枝单一或有3枝,具棱,被短柔毛或近无毛。双数羽状复叶,小叶4~8对,叶轴末端有卷须;托叶半箭头状,通常有齿;小叶椭圆形、长圆形、倒卵形至倒卵状长圆形,全缘,长1~2.5cm,宽0.5~1.2cm,先端截形或微凹而具刺尖,两面被短柔毛。

花1~2(3~4)腋生,有柄;花紫色或蓝紫红色,长2~2.3(2.6)cm;花萼筒状,被短柔毛,萼齿披针状锥形至线披针形;旗瓣长倒卵形,先端圆或微凹,中部隘缩,下部渐狭,翼瓣短于旗瓣,明显长于龙骨瓣;子房微被柔毛,有柄,花柱下弯。荚果扁,长4~6cm,宽0.5~0.8cm。

种子4~10。花期6~7(8)月,果期7~9月。

(图见《中国高等植物图鉴》.第2册.478页.图2685)

生境与分布 生于山坡草地、田埂及灌木林下。中国各地均有分布。原苏联、日本也有分布。

【生药】:

采集 4~5月间采收,除去杂质,晒干或鲜用。

贮藏 晒干用者置干燥处,防霉。

【化学】:

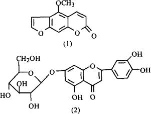
含黄原毒(Xanthotoxin)、香柑内酯(Bergapten)(1)、伞形花内酯(Um belliferone)、七叶内酯(Esculetin)、东莨菪素(Scopoletin)、异槲皮甙(Isoquercitrin)、安托甙(Antoside)、生物槲皮素(Bioquercetin)、芦丁、秋英甙(Cosmosiin)和木犀草甙(Cinaroside)(2)[1]

另含豆球朊((Legumin),及由原花色素聚合的缩合鞣质等[2,3]。此外还含蛋白质21.8%~37.6%(干重)、糖类4.0%~9.5%及微量氢氰酸,叶含抗坏血酸,根结节含聚-β-羟基丁酸(Poly-β-hydroxybutyric acid),种子含蛋白质和精氨酸、γ-羟基精氨酸(γ-Hydroxyarginine)、羟丁氨酸(Threonine)等氨基酸[4]

种子含蚕豆甙(Vicine)[5]

参考文献 [1] CA [987;106:135331m,135332n [2] CA 1986;105:21687f, 1989;111∶52679h [3] phytochemistry 1983;22(2):569 [4] 中药大辞典.上册.上海人民出版社,1977:134 [5] 植物药有效成分手册.人民卫生出版社,1986:1121

【药理】:

本品种子中所含蚕豆甙(Vicine)有抗心律失常作用,抑制由电刺激引起的离体豚鼠心脏心律失常的ED50为18μg[1]。蚕豆甙能降低红细胞中葡萄糖-6-磷酸脱氢酶的作用,因而可产生溶血性贫血[2]

参考文献 [1] CA 1977;86:111168f [2] 中华医学杂志 1982;62(5):276

【药性】:

性味 甘、辛,寒。

❶ 《本草拾遗》:“甘,寒。”
❷ 《本草品汇精要》:“甘,平。”
❸ 《草木便方》:“辛,平。”

功效 清热利湿,和血祛瘀。

主治 黄疸,浮肿,疟疾,鼻衄,心悸,梦遗,月经不调。 ❶ 《本草拾遗》:“调中,利大小肠。”
❷ 《海药本草》:“主利水道,下浮肿,润大肠。”
❸ 《本草品汇精要》:“益气,润肌,清神,强志。”
❹ 《草木便方》:“活血,破瘀,止血,生肌。治五黄疸肿,利脏热,截疟,平胃,明耳目。”
❺ 《四川中药志》:“生血。治肾虚遗精,腰痛,湿热黄肿。

用法用量 内服:煎汤,15~30g。外用:捣敷。

。【临床应用】:

方选和验方 ❶ 《四川中药志》:“治黄肿及水肿:野麻豌、黄脚鸡、水皂角、臭草根、打碗子根各6~9g。煎服。”
❷ 《四川中药志》:“治夜梦遗精,心慌心跳:野麻豌、黄精、天冬、朱砂、仙茅、杜仲各3~6g。炖猪蹄服。”

单方应用 ❶ 《贵州草药》:“治鼻血:肥田草30g,煨甜酒吃。”
❷ 《贵州草药》:“治月经不调:肥田草种子、小血藤各15g。泡酒服。


❸ 江西《草药手册》:“治疔疮:鲜大巢菜,盐卤捣敷。”

随便看

 

离鸟网收录3541549条中英文词条,其功能与新华字典、现代汉语词典、牛津高阶英汉词典等各类中英文词典类似,基本涵盖了全部常用中英文字词句的读音、释义及用法,是语言学习和写作的有利工具。

 

Copyright © 2004-2024 vtrois.com All Rights Reserved
更新时间:2026/5/27 14:12:36