网站首页  词典首页


请输入您要查询的字词:

 

字词 大隆
类别 中英文字词句释义及详细解析
释义 大隆

第二代广谱抗凝血杀鼠剂。

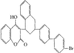
化学名称:3-〔3-(4′-溴联苯)-4-基-1,2,3,4-四氢萘基〕-4-羟基香豆素。化学结构式如下。原药为灰白色结晶粉末,熔点228~232℃,蒸气压<133.322×10-6Pa。不溶于水和石油醚,易溶于氯仿,稍溶于丙酮、苯、乙醇、乙酸乙酯等有机溶剂。

主要是阻碍凝血酶原的合成,损害微血管,导致大出血而死。中毒潜伏期一般3~5天。靶谱广,毒力强,具有急性和慢性杀鼠剂的双重优点。对第一代凝血杀鼠剂产生抗药性的害鼠,也有良好效果。

杀灭各种家栖或野栖害鼠,使用毒饵或蜡块,一次性投饵或间隔投饵。大鼠急性口服LD50<0.72mg/kg,兔急性经皮LD50为50mg/kg,大鼠急性吸入LC50为0.5~5.0mg/m3

猪、狗、鸟类对大隆较敏感,易发生二次中毒。解毒药为维生素K。

随便看

 

离鸟网收录3541549条中英文词条,其功能与新华字典、现代汉语词典、牛津高阶英汉词典等各类中英文词典类似,基本涵盖了全部常用中英文字词句的读音、释义及用法,是语言学习和写作的有利工具。

 

Copyright © 2004-2024 vtrois.com All Rights Reserved
更新时间:2026/4/6 23:59:49