网站首页  词典首页


请输入您要查询的字词:

 

字词 大麻药
类别 中英文字词句释义及详细解析
释义 大麻药

【名称出处】:《云南中草药》

【概况】:

异名 麻里麻、山豆根、野饭豆根、三极方(《云南中草药选》),镰叶山扁豆(《中药大辞典》)。

基源 为豆科扁豆属植物镰扁豆的根或叶。扁豆属全世界约70种,中国约8种。

原植物 镰扁豆Dolichos falcata Klein

形态 多年生蔓生草质藤本,长可达2m。

根粗壮,圆柱形,褐色,具纵纹。

茎纤细,三棱。3出羽状复叶,小叶卵圆形,长3~4cm,宽1.5~2,5cm,两面稀被短硬毛;小托叶线形。

总状花序,腋生,花1~4朵;萼阔钟形,长约3mm;花冠白色,长1~1.2cm,旗瓣圆形,翼瓣倒卵形,比旗瓣略长,龙骨瓣内弯,基部截形。荚果扁平,线状长椭圆形,稍弯,长5~6cm。

种子青色,有紫斑。

花果期6~9月。(图见《云南中草药选》75页.彩图35)

生境与分布 生于山坡灌丛或疏林中。分布于广东、云南。

。【生药】:

采集 秋季采收,晒干;叶常鲜用。

贮藏 置干燥处,根防霉蛀,叶防霉。

【化学】:

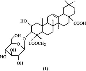
根含大麻药甙A(Doliroside A)(1),即23-单甲酯苜蓿酸-3-O-β-D-葡萄吡喃糖甙(Medicagenic acid 23-monomethylate-3-O-β-D-glucopyranoside)[1]。另含大麻药甙,即苜蓿酸3-β-D-葡萄糖甙,以钾盐形式存在[2]

参考文献 [1] 云南植物研究 1984;6(3):321 [2] 中草药 1985;16(1):47

【药理】:

根的醇提取物(主要是皂甙,甙元之一为苜蓿酸)对小鼠移植性肿瘤(ECA、S180、S37及子宫颈癌U14)在细胞呼吸筛选法中,证明有明显的抑制作用[1],大麻药及其皂甙给大鼠ig,有利尿作用[2]

参考文献 [1] 科学通报 1975;20(7):339 [2] 中草药通讯 1976;7(6):27

【药性】:

性味 辛、温。

有毒。 《云南中草药》:“辛、麻,温。有毒。”

功效 祛风活血,止血止痛。

主治 骨折,跌打损伤,风湿疼痛,外伤出血。 ❶ 《云南中草药》:“止血生肌,消炎镇痛,接骨。”
❷ 《文山中草药》:“行血散瘀,止痛消肿。”
❸ 《中药大辞典》:“镇痛,消肿,止血。治风湿痛,跌打损伤,骨折,外伤出血,吐血衄血,便血。

用法用量 内服:煎汤,3~9g;或浸酒。

外用:研末撒或调敷。

随便看

 

离鸟网收录3541549条中英文词条,其功能与新华字典、现代汉语词典、牛津高阶英汉词典等各类中英文词典类似,基本涵盖了全部常用中英文字词句的读音、释义及用法,是语言学习和写作的有利工具。

 

Copyright © 2004-2024 vtrois.com All Rights Reserved
更新时间:2026/4/6 23:08:54