网站首页  词典首页


请输入您要查询的字词:

 

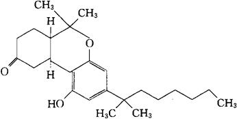
字词 大麻隆
类别 中英文字词句释义及详细解析
释义 大麻隆

C24H36O3=372.55

CAS-51022-71-0

3-(1,1-二甲基庚基)-6,6a,7,8,10,10a-六氢-1-羟-6,6-二甲基-9H-二苯并[b,d]吡喃-9-酮。

3-(1,1-Dimethylheptyl)-6,6a,7,8,10,10a-hexahydro-1-hydroxy-6,6-dimethyl-9H-dibenzo[b,d]pyran9-one.

安定药。

纳必隆。

Nabilone,Cesamet.

INN,BAN,USAN,MI.

随便看

 

离鸟网收录3541549条中英文词条,其功能与新华字典、现代汉语词典、牛津高阶英汉词典等各类中英文词典类似,基本涵盖了全部常用中英文字词句的读音、释义及用法,是语言学习和写作的有利工具。

 

Copyright © 2004-2024 vtrois.com All Rights Reserved
更新时间:2026/4/6 19:31:34