网站首页  词典首页


请输入您要查询的字词:

 

字词 太尔各特法
类别 中英文字词句释义及详细解析
释义 太尔各特法

观测高度角以计算观测者之纬度,其误差主要来源为垂直度盘之刻度误差,仪器之垂直轴不能绝对垂直,以及蒙气差等。

赫瑞鲍太尔各特法即系针对以上之缺点,设法消除上述各种误差,或减低其影响。其法系每次观测两恒星之子午天顶距差。

此两星须一在天顶之北,另一在天顶之南,其天顶距须相差甚微,而中天时间亦在20分钟以内。

设Z为天顶,E为赤道与子午圈的交点。

Ss,Sn为南北两恒星之中天位置。Zs,Zn为天顶距,δs、δn、其赤纬,φ为观测地之纬度。

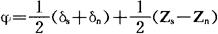
设E、Ss、Z、Sn、P(天极)都在同一子午圈的半圆弧上,设半圆弧的圆心为O,连接OE、OSs、OZ、OSn、OP,则Zs、Zn、δs、δn、φ的角度都显示在该半圆平面上,由δs可得:

φ=δs+Zs

由δn可得:

φ=δn-Zn

两式相加用2除,得:

应用此法观测时,并不直接量测天顶距而用目镜测微器量测南北两星天顶距之差。故可避免垂直度盘刻度误差之影响。

两星之天顶距差甚小,其蒙气差相差亦甚少,计算时亦只须改正两方向蒙气差之差。为测定垂直轴不绝对垂直之误差,用一精密水准管与望远镜固连。

随便看

 

离鸟网收录3541549条中英文词条,其功能与新华字典、现代汉语词典、牛津高阶英汉词典等各类中英文词典类似,基本涵盖了全部常用中英文字词句的读音、释义及用法,是语言学习和写作的有利工具。

 

Copyright © 2004-2024 vtrois.com All Rights Reserved
更新时间:2026/4/7 2:35:37