网站首页  词典首页


请输入您要查询的字词:

 

字词 夫罗吡地
类别 中英文字词句释义及详细解析
释义 夫罗吡地

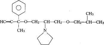
C21H31NO2=329.48

CAS-79700-63-3

1-[1-(异丁氧甲基)-2-[(1-甲基-1-苯基-2-丙炔基)氧]乙基]吡咯烷。

1-[1-(Isobutoxymethyl)-2-[(1-methyl-1-phenyl-2-propynyl)oxy]ethyl]pyrrolidine.

1-[-[[(1-甲基-1-苯基-2-丙炔基)氧]甲基]-2-(2-甲基丙氧)乙基]吡咯烷。

1-[-[[(1-Methyl-1-phenyl-2-propynyl)oxy]methyl]-2-(2-methylpropoxy)ethyl]pyrrolidine.

抗心律失常,抗咽峡炎药,抗心绞痛药。

柔利地匹。

Fronepidil,Fronedipil.

INN,USAN.

随便看

 

离鸟网收录3541549条中英文词条,其功能与新华字典、现代汉语词典、牛津高阶英汉词典等各类中英文词典类似,基本涵盖了全部常用中英文字词句的读音、释义及用法,是语言学习和写作的有利工具。

 

Copyright © 2004-2024 vtrois.com All Rights Reserved
更新时间:2026/5/25 11:06:14