夫西地酸钠
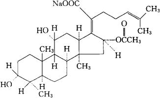
C31H47NaO6=506.70 CAS-751-94-0 CAS-6990-06-3(fusidicacid) (3α,4α,8α,9β,11α,13α,14β,16β,17Z)-16-(乙酰氧)-3,11-二羟-29-去甲 玛树脂-17(20),24-二烯-21-酸,单钠盐。 (3α,4α,8α,9β,11α,13α,14β,16β,17Z)-16-(Acetyloxy)-3,11-dihydroxy-29-nordammara-17(20),24-dien-21-oic acid,monosodium salt. 3α,11α,16β-三羟-29-去甲-8α,9β,13α,14β- 玛脂-17(20),24-二烯-21-酸16-乙酸钠。 Sodium 3α,11α,16β-trihydroxy-29-nor-8α,9β,13α,14β-dammara-17(20),24-dien-21-oate 16-acetate. 夫西地酸,钠盐。 Fusidic acid,sodium salt. 抗菌药。 褐霉酸钠,甾酸霉素钠。 Fusidate Sodium,SQ 16360. USAN. 
|