网站首页  词典首页


请输入您要查询的字词:

 

字词 失效率
类别 中英文字词句释义及详细解析
释义 失效率

也称为故障率,指产品在某一时刻t,于单位时间内发生失效的概率。

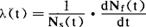
它是衡量产品或零部件可靠性的一个重要指标。其表达式为:

式中:λ(t)表示失效率;Ns(t)表示工作到t时刻尚未失效的残存产品数;dNf(t)表示当Δt→0时,在时间(t,t+Δt)内的失效产品数;dNf(t)/dt表示单位时间内发生失效的概率。

随便看

 

离鸟网收录3541549条中英文词条,其功能与新华字典、现代汉语词典、牛津高阶英汉词典等各类中英文词典类似,基本涵盖了全部常用中英文字词句的读音、释义及用法,是语言学习和写作的有利工具。

 

Copyright © 2004-2024 vtrois.com All Rights Reserved
更新时间:2026/5/31 23:47:59