失能调整生命年
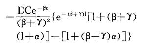
1992年,世行和哈佛大学联合推出失能调整寿命年(DALYs)作为健康产出指标以衡量疾病负担并应用于卫生经济学评价。 这一指标是死亡部分损失(YLL)和失能部分损失(YLD)两指标的综合。疾病给人类带来的危害包括早逝与非致命健康结局两个方面,其共同点是减少了人的健康寿命,计量地计算一个地区每个病对健康寿命所造成的损失,就可科学地说明当地哪种疾病危害健康大,哪种相对危害较小,找出主要的卫生问题。应当认为,不同年龄的生命价值不是等价的,健康生命的现在损失与将来损失也不是等价的。DALYs的公式如下:   其中,D为疾病或死亡的权重,C为年龄权重校正参数,β为年龄权重参数,γ为贴现率,α为发病年龄,1为病程。 cxe-βx为年龄调整函数,e-γ(x-α)为贴现函数。对于死亡损失(YLL),D赋值为1,因为DALYs中认为死亡权重为l;对于失能损失(YLD),其D值为小于1的一个相对死亡折算常数。计算DALYs需要发病率、发病年龄、病程、病死率等流行病学参数以及疾病权重、年龄权重、贴现率这些参数。 |