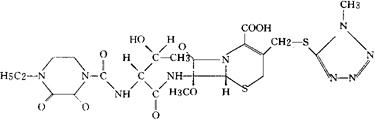
头孢丁哌酮
C22H29N9O9S2=627.65 CAS-76610-84-9 (6R,7S)-7-[(2R,3S)-2-(4-乙基-2,3-二氧代-1-哌嗪甲酰胺基-3-羟丁酰胺]-7-甲氧-3-[[(1-甲基-1H四氮唑-5-基)硫代]甲基]-8-氧代-5-硫杂-1-氮杂双环[4.2.0]辛-2-烯-2-羧酸。 (6R,7S)-7-[(2R,3S)-2-(4-Ethyl-2,3-dioxo-1-piperazinecarboxamido)-3-hydroxybutyramido]-7-methoxy-3-[[(l-methyl-1H-tetrazol-5-yl)thio]methyl]-8-oxo-5-thia-l-azabicyclo[4.2.0]oct-2-ene2-carboxylic acid. 抗生素类药。 头孢拉宗。 Cefbuperazone,Tomiporan. INN,USAN,MI. 
|