网站首页  词典首页


请输入您要查询的字词:

 

字词 头孢丁哌酮钠[中]
类别 中英文字词句释义及详细解析
释义 头孢丁哌酮钠[中]

C22H28NaO9S2=649.63

CAS-76648-01-6

CAS-76610-84-9(cefbuperaxone)

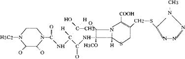
[6R-[6α,7α-7(2R*,3S*)]]-7-[[[2-[[(4-乙基-2,3-二氧代-1-哌嗪基)羰基]氨基]-3-羟基-1-氧丁基]氨基]]-7-甲氧-3-[[(1-甲基-1H-四唑-5-基)硫代]甲基]-8-氧代-5-硫杂-1-氮杂双环[4.2.0]辛-2-烯-2-羧酸钠盐。

[6R-[6α,7α-7(2R,*,3S*)]]-7-[[2-[[(4-Ethyl2,3-dioxo-1-piperazinyl)carbonyl]amino]-3-hydroxy-1-oxybutyl]amino]-7-methoxy-3-[[(1-methyl1H-tetrazol-5-yl)thio]methy]-8-oxo-5-thia-1-azabicyclo[4.2.0.]oct-2-ene-2-carboxylic acid sodiumsalt.

(6R,7S)-7-[(2R,3S)-2-(4-乙基-2,3-二氧代-1-哌嗪甲酰胺)-3-羟丁酰胺]-7-甲氧-3-[[(1-甲基-1H-四唑-5-基)硫代]甲基]-8-氧代-5-硫杂-1-氮杂双环[4.2.0]辛-2-烯-2-羧酸钠。

Sodium(6R,7S)-7-[(2R,3S)-2-(4-ethyl-2,3-dioxo-1-piperazine carboxamido)-3-hydroxybutyrmido]-7-methoxy-3-[[(1-methy-1H-tetrazol-5-yl)thio]methyl]-8-oxo-5-thia-l-azabicyclo[4.2.0]oct-2-ene2-carboxylic acid.

抗生素类药。

用于肺炎球菌、大肠杆菌、柠檬酸细菌属、克雷伯氏菌属、肠杆菌属、沙雷氏菌属、普通变形杆菌、奇异变形杆菌、摩氏变形杆菌、雷氏变形杆菌、流感杆菌、拟杆菌属中对本品敏感菌的下列感染:败血病、心内膜炎、慢性支气管炎扩张症感染、肺炎、肺化脓性疾病、脓胸、肾盂肾炎、膀胱炎、胆囊炎、胆管炎、腹膜炎、子宫附件炎、子宫内感染、骨盆死腔炎、子宫旁组织炎、前庭大腺炎。

头孢布宗钠,头孢拉宗钠。

Cefbuperazone Sodium,BMY 25182,T 1982,Keiperaxon,Tomiporan.

INN,USAN(Cefbuperazone).

随便看

 

离鸟网收录3541549条中英文词条,其功能与新华字典、现代汉语词典、牛津高阶英汉词典等各类中英文词典类似,基本涵盖了全部常用中英文字词句的读音、释义及用法,是语言学习和写作的有利工具。

 

Copyright © 2004-2024 vtrois.com All Rights Reserved
更新时间:2026/4/6 20:13:41