网站首页  词典首页


请输入您要查询的字词:

 

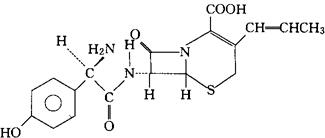
字词 头孢丙烯
类别 中英文字词句释义及详细解析
释义 头孢丙烯

C18H19N3O5S=389.43

CAS-92665-29-7

CAS-121123-17-9(monohydrate)

[6R-[6α,7β(R*)]]-7-[[氨基(4-羟苯基)乙酰]氨基]-8-氧代3-(1-丙烯基)-5-硫杂-1-氮杂双环[4.2.0]辛-2-烯-2-羧酸。

[6R-[6α,7β(R*)]]-7-[[Amino(4-hdyroxyphenyl]acetyl]amino]-8-oxo-3-(1-propenyl)-5-thia-1-azabicyclo[4.2.0]oct-2-ene-2-carboxylic acid.

(6R,7R)-7-[对-羟苯基乙酰胺基]-8-氧代-3-丙烯基-5-硫杂-1-氮杂双环[4.2.0]辛-2-烯-2-羧酸。

(6R,7R)-7-[p-Hydroxyphenyl)acetamido]-8-oxo-3-propenyl-5-thia-1-azabicyclo[4.2.0]oct-2-ene-2-carboxyylic acid.

抗生素类药。

头孢普罗。

Cefprozil,BMY-28100-03-800.

INN,USAN.

随便看

 

离鸟网收录3541549条中英文词条,其功能与新华字典、现代汉语词典、牛津高阶英汉词典等各类中英文词典类似,基本涵盖了全部常用中英文字词句的读音、释义及用法,是语言学习和写作的有利工具。

 

Copyright © 2004-2024 vtrois.com All Rights Reserved
更新时间:2026/4/6 17:24:10