网站首页  词典首页


请输入您要查询的字词:

 

字词 头孢他美
类别 中英文字词句释义及详细解析
释义 头孢他美

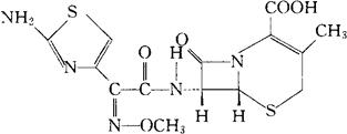
C14H15N5O5S2=397.42

CAS-65052-63-3

[6R-[6a,7β(Z)]]-7-[[(2-氨基4-噻唑基)(甲氧亚氨基)乙酰]氨基]-3-甲基-8-氧-5-硫杂-1-氮杂双环-[4.2.0]辛-2-烯-2-羧酸。

7-[[(2-Amino-4-thiazolyl)(methoxyimino)acetyl]amino]-3-methyl-8-oxo-5-thia-1-azabicyclo-[4.2.0]oct-2-ene-2-carboxylic acid[6R-[6α,7β(Z)]]-.

(6R,7R)-7-[2-(2-氨基-4-噻唑基)乙醛酰氨基]-3-甲基-8-氧代-5硫杂-1-氮杂双环[4.2.0]辛-2-烯-2-羧酸,72-(Z)-(O-甲基肟)。

(6R,7R)-7-[2-(2-Amino-4-thiazolyl)glyoxylamido]-3-methyl-8-oxo-5-thia-1-azabicyclo[4.2.0]oct2-ene-2-carboxylic acid,72-(Z)-(O-methyloxime).

抗生素类药,抗菌药(兽用)。

头孢米特。

Cefetamet,LY097964,Ro-15-8074.

INN,USAN.

随便看

 

离鸟网收录3541549条中英文词条,其功能与新华字典、现代汉语词典、牛津高阶英汉词典等各类中英文词典类似,基本涵盖了全部常用中英文字词句的读音、释义及用法,是语言学习和写作的有利工具。

 

Copyright © 2004-2024 vtrois.com All Rights Reserved
更新时间:2026/4/6 18:07:17