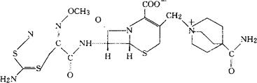
头孢克定
C21H26N8O6S2=550.61 CAS-105239-91-6 (+)-1-[[(6R,7R)-7-[2-(5-氨基-1,2,4-噻二唑-3-基)乙醛酰胺基]-2-羧-8-氧-5-硫杂-1-氮杂双环[4.2.o]辛-2-烯-3基]甲基]-4氨基甲酰奎宁环氢氧化物,内盐72-(Z)-(O-甲基肟)。 (+)-1-[[(6R,7R)-7-[2-(5-Amino-1,2,4-thiadiazol-3-yl)glyoxylamido]-2-carboxy-8-oxo-5-thia-1-azabicyclo[4.2.0]oct-2-en-3-yl]meth-yl]-4-carbamoylquinuclinium hydroxide,inner salt,72-(Z)-(O-methyloxime). 抗生素类药。 Cefclidin. INN,USAN. 
|