头孢匹胺钠
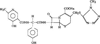
C25H23N8NaO7S2=634.62 CAS-74849-93-7 [6R-[6α,7β(R*]]-7-[[[[(羟基-6-甲基-3-吡啶基)羰基]氨基](4-羟苯基)乙酰]氨基]-3-[[(1-1H-四唑基)硫代]]甲基]-8-氧代-5-硫杂1-氮杂双环[4.2.0]辛-2-烯-2-羧酸单钠盐。 5-Thia-1-azabicyclo[4.2.0]oct-2-en-2-carboxylicacid,7-[[[[(4-hydroxy-6-methyl-3-pyridinyl)carbony]amino](4-hydroxyphenyl)acetyl]amino]-3-[[(1-methyl-1H-tetrazol-5-yl)thio]methyl]-8-oxo-,monosodium salt,[6R-[6α,7β(R*)]]-. (6R,7R)-7-[(R)-2-(4-羟基-6-甲基烟酰胺基)-2-(对-羟苯基)乙酰胺]-3-[[(1-甲基-1H-四唑-5-基)硫代]-甲基]-8-氧代-5-硫杂-1-氮杂双环[4.2.0]辛-2-烯-2-羧酸钠。 Sodium(6R,7R)-7-[(R)-2-(4-Hydroxy-6-methylnicotinamido)-2-(p-hydroxyphenyl)acetamido]-3-[[(1-methyl-1H-tetrazol-5-yl)thio]methyl]-8-oxo5-thia-1-azabicyclo[4.2.0]oct-2-ene-2-carboxylate. 抗生素类药。 头孢烟胺钠。 Cefpiramide Sodium,WY-44,635 Sodium. USAN,USP.  |