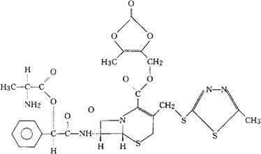
头孢卡达
C27H27N5O9S3=661.72 CAS-97275-40-6 2,3-二羟-2-丁烯基(6R,7R)-7-[(R)扁桃酰胺]-3-[[(5-甲基-1,3,4-噻二唑-2-基)硫代]甲基]-8-氧-5-硫杂-1-氮杂双环[4.2.0]辛-2-烯-2-羧酸酯,环2,3-碳酸酯与L-丙氨酸成酯。 2,3-Dihydroxy-2-butenyl(6R,7R)-7-[(R)mandelamido]-3-[[(5-methy-1,3,4-thiadiazol-2-yl)thio]methyl]-8-oxo-5-thia-l-azabicyclo[4.2.0]oct-2-ene2-carboxylate,cyclic 2,3-carbonate,ester with Lalanine. 抗生素类药。 头孢卡奈达诺酯,头孢康纳达洛酯。 Cefcanel Daloxate,KY-109. INN,USAN. 
|