头孢吡肟
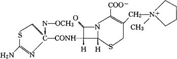
C19H24N6O5S2=480.56 CAS-88040-23-7 [6R-[6α,7β(Z)]]-1-[[7-[[(2-氨基-4-噻唑基)(甲氧亚氨基)乙酰]氨基]-2-羧-8-氧-5-硫杂-1-氮杂双环[4.2.0]-辛-2-烯-3-基]-1-甲基]甲基-吡咯烷鎓,氢氧化物,内盐。 1-[[7-[[(2-Amino-4-thiazolyl)(methoxyimino)acetyl]-amino]-2-carboxy-8-oxo-5-thia-1-azabicyclo[4.2.0]-oct-2-en-3-yl]methy]-1-methyl pyrrolidinium,hydroxide,inner salt,[6R-[6α,7β(Z)]]. 1-[[(6R,7R)-7-[2-(2-氨基-4-噻唑基)乙醛酰氨基]-2-羧-8-氧代-5-硫杂-1-氮杂双环[4.2.0]辛-2-烯-3-基]甲基]-1-甲基吡略烷鎓氢氧化物内盐,72-(Z)-(O-甲基肟)。 1-[[(6R,7R)-7-[2-(2-Amino-4-thiazolyl)glyoxylamido]-2-carboxy-8-oxo-5-thia-1-azabicyclo[4.2.0]oct-2-en-3-yl]methyl]-1-methylpyrrolidinium hydroxide,inner,salt,72-(Z)-O-methyloxime). 抗生素类药,抗菌药。 头孢匹姆。 Cefepime,BMY-28142,MY-28142. INN,USAN.  |