网站首页  词典首页


请输入您要查询的字词:

 

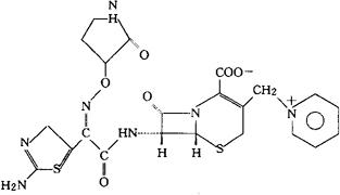
字词 头孢吡酮
类别 中英文字词句释义及详细解析
释义 头孢吡酮

C22H21N17O6S2=543.57

CAS-103238-57-9

1-[[(6R,7R)-7-[2-(2-氨基-5-噻唑基)乙醛酰氨基]-2羧-8-氧代-5-硫杂-1-氮杂双环[4.2.0]辛-2-烯-3-基]甲基]吡啶鎓氢氧化物,内盐,72-(E)-[O-(2-氧代-3-吡咯烷基)肟]。

1-[[(6R,7R)-7-[2-(2-Amino-5-thiazoly)glyoxylamido]-2-carboxy-8-oxo-5-thia-1-azabicyclo[4.2.0]oct-2-en-3-yl]methyl]pyridinium hydroide,innersalt,72-(E)-[O-(2-oxo-3-pyrrolidinyl)oxime].

抗生素类药。

头孢莫匹酮。

Cefempidone,GR 50692,TA5901.

IAN,BAN,USAN.

随便看

 

离鸟网收录3541549条中英文词条,其功能与新华字典、现代汉语词典、牛津高阶英汉词典等各类中英文词典类似,基本涵盖了全部常用中英文字词句的读音、释义及用法,是语言学习和写作的有利工具。

 

Copyright © 2004-2024 vtrois.com All Rights Reserved
更新时间:2026/4/8 12:48:15