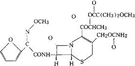
头孢呋肟匹伏乙酯
C23H28N4O11S=568.56 CAS-100680-33-9 [6R-[6α,7β(Z)]]-3-[[(氨基羰基)氧]甲基]-7-[[2-呋喃基(甲氧亚氨基)乙酰]氨基]-8-氧代-5-硫杂-1-氮杂双环[4.2.0]辛-2-烯-3-羧酸1-(2-甲氧-2-甲基-1-氧丙氧)乙酯。 [6R-[6α,7β(Z)]]-3-[[(Aminocarbonyl)oxy]methyl]-7-[[2-furanyl(methoxyimino)acetyl]amino]-8-oxo-5-thia-1-azabicyclo[4.2.0]oct-2-ene3-carboxylic acid,1-(2-methoxy-2-methyl-1-oxopropoxy)ethy ester. 1-羟乙基(6R,7R)-7-[2-(2-呋喃基)乙醛酰氨基]-3-羟甲基)-8-氧代-5-硫杂-1-氮杂双环[4.2.0]辛-2-烯-2-羧酸酯,72-(Z)-(O-甲基肟),3-氨基甲酸酯,1-(2-甲氧-2-甲基丙酸酯)。 1-Hydroxyethyl(6R,7R)-7-[2-(2-furyl)glyoxylamido]-3-(hydroxymethyl)-8-oxo-5-thia-1-azabicyclo[4.2.0]oct-2-ene-2-carboxylate,72-(Z)-(O-methyloxime),3-carbamate 1-(2-methyoxy-2-methylpropionate). 抗生素类药。 Cefuroxime Pivoxetil,CCI 23628. USAN.  |