网站首页  词典首页


请输入您要查询的字词:

 

字词 头孢咪唑钠
类别 中英文字词句释义及详细解析
释义 头孢咪唑钠

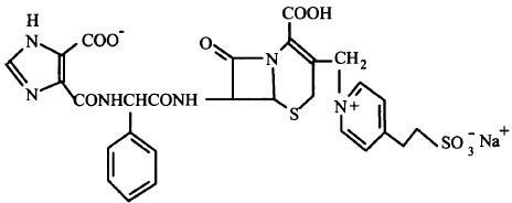
【化学名称】氢氧化1-[(6R,7R)-2-羧基-7-[(R)-[2-(5-羧基-1H-咪唑-4-羧酰胺基)-2-苯基]乙酰胺基]-8-氧代-5-硫杂-1-氮杂二环[4,2,0]辛-2-烯-3-基]甲基-4-(2-磺基乙基)吡啶钅翁内盐,单钠盐

【化学结构】

【药理作用】对革兰阳性菌、革兰阴性菌及厌氧菌显示广谱抗菌作用,特别对绿脓杆菌的抗菌作用比原有头孢烯类为强。与体外作用相比,体内抗菌作用更强,小鼠感染治疗实验中显示了优良的疗效,特别是绿脓杆菌感染治疗实验中更为显著。对各种细菌产生的β-内酰胺酶具有高度稳定性,对TEM 型青霉素酶稳定性也很好。与青霉素结合蛋白(Ⅰa、Ⅰb及Ⅲ)显示高度亲和性,因抑制细菌细胞壁的合成而发挥杀菌作用。促进感染防御功能的作用:本品与血清补体显示协同杀菌作用,同时能促进巨噬细胞及中性白细胞的吞噬及杀菌能力,提供宿主防御感染的能力。

毒性:(1)急性毒性:LD50( mg/kg)值,小鼠静注为2700(雄)及2880(雌),大鼠为4200(雄)及3500(雌);小鼠皮下注射为8200(雄)及6800(雌),大鼠为12200(雄)及11500(雌);肌注,大小鼠均>1200,口服均>15000。(2)亚急性、慢性毒性:大鼠静注5周的无影响剂量为150 mg/kg,12或26周为100 mg/kg。狗静注30日及26周、猴静注30日的无影响剂量是100 mg/kg。(3)肾脏毒性:家兔给予600 mg/kg时,见肾小管上皮细胞轻度形态学变化及肾功能低下。大鼠并用利尿药(速尿)的试验中未见本品的肾脏毒性因并用速尿而增强。(4)生殖试验:对大鼠及兔未见胎儿毒性及致畸作用,且对生殖功能及下一代未见影响。(5)抗原性:对小鼠、兔及豚鼠未见抗原性,与其他头孢烯类及青霉素G也未见免疫学交叉反应性。(6)其他:对醛脱氢酶未见抑制作用,对幼年大鼠有睾丸萎缩、精子形成抑制作用。

【药代动力学】(1)血药浓度:健康成人静注本品0.5,1及2 g后血药浓度在给药后6h为1.6,4.1及9.7μg/ml,血药浓度半衰期为1.57~1.98h。健康成人在1h内静滴本品1,2及4 g,静滴结束后5h血药浓度为6.3,9.8及19.2μg/ml。此时半衰期为1.53~1.73h。(2)分布:向人的痰液、肺组织、胆汁、胆囊组织、腹水、腹腔内渗出液、子宫及子宫附件等有高度移行,也发现向脐带血及羊水移行,可向胎儿移行,未发现向乳汁移行。(3)排泄:主要随尿排泄,健康成人静注及静滴1 g后的尿中排泄率在8h内约为85% 。(4)代谢:在人尿内未发现显示抗菌活性的代谢物。(5)肾功能不全患者血中半衰期延长,尿中排泄率降低。

【适应证】用于链球菌属(粪链球菌除外)、肺炎球菌、消化链球菌属、大肠杆菌、克雷伯菌属、奇异变形杆菌、绿脓杆菌、流感杆菌、拟杆菌属中对本品敏感的菌株引起的败血症、急性支气管炎、扁桃体炎、慢性支气管炎、支气管扩张症感染、慢性呼吸系统疾患的继发感染、肺炎、肺化脓症、脓胸、肾盂肾炎、膀胱炎、胆囊炎、胆管炎、腹膜炎、子宫附件炎、子宫内感染、前庭大腺炎。

【剂量与用法】静注或静滴,每日1~2 g(效价),分2次给药。对难治性或重症感染可增至每日4 g(效价)。静注时每克溶于注射用水、生理盐水或葡萄糖注射液10~20ml,缓缓静注,静滴时溶于糖、电解质、氨基酸等补液,需时30 min~2h。

【临床评价】1.疗效评价:经1569例一般临床试验,本品对下列疾患的有效率为:败血症70%(7/10)、呼吸系统感染77.5%(355/458)、尿路感染63.5%(356/561)、肝、胆道感染76.7%(33/43)、腹膜炎82.0 %(91/111)、妇产科感染94.9 %(150/158)。

2.对呼吸系统感染、尿路感染的双盲试验表明本品有效。

【不良反应】1960例中,3.9% 发生不良反应。

1.休克:罕见,出现不快感、口内异常感、喘息、眩晕、便意、耳鸣、发汗等时应停药。

2.过敏:皮疹、荨麻疹、红斑、瘙痒感、发热等,出现时应停药。

3.血液:偶见嗜酸粒细胞增多、粒细胞减少、血小板减少、红细胞减少等,应中止给药。其他头孢烯类抗生素有发生溶血性贫血的报告。

4.肝脏:偶见SGOT、SGPT、ALP、γ-GTP等上升。

5.肾脏:偶见BUN 上升、肌酸酐上升、少尿、蛋白尿等肾功能障碍。

6.消化系统:偶见恶心、嗳气、呕吐、腹泻、食欲不振等。其他头孢烯类抗生素罕见假膜性大肠炎。

7.菌群交替:偶见口炎、念珠菌病等。

8.维生素缺乏症:罕见维生素K缺乏症、维生素B族缺乏症。

9.其他:偶见头痛。

【注意事项】1.禁用于对本品有过敏史的病人。

2.慎用于对青霉素或头孢烯类药物有过敏史的病人、本人或双亲、弟兄有易发生支气管哮喘、皮疹、荨麻疹等变态反应症的体质的病人、有严重肾功障碍的病人、摄食困难或不经口营养的病人、老年人、全身状况差的病人。妊娠期与小儿给药的安全性尚未确立。

3.使用注意事项:
❶ 为预测过敏休克等反应,应充分问诊,最好事先作皮试。
❷ 本品仅供静脉内给药。
❸ 静脉内大量给药时可发生血管痛、血栓性静脉炎,应注意注射液的配制、注射部位、注射方法等,注射速度尽可能慢。
❹ 溶解后迅速给药。

4.对临床检查值的影响:
❶ 用本尼迪特、菲林及Clinitest法检查尿糖时可呈假阳性。
❷ 直接库姆斯氏试验有时呈阳性。

【制剂规格】静注用冻干针剂,0.5 g,1 g。

【贮存】室温保存,有效期2年。

【生产厂家】日本森下制药公司。

随便看

 

离鸟网收录3541549条中英文词条,其功能与新华字典、现代汉语词典、牛津高阶英汉词典等各类中英文词典类似,基本涵盖了全部常用中英文字词句的读音、释义及用法,是语言学习和写作的有利工具。

 

Copyright © 2004-2024 vtrois.com All Rights Reserved
更新时间:2026/5/28 23:38:46