网站首页  词典首页


请输入您要查询的字词:

 

字词 头孢唑肟
类别 中英文字词句释义及详细解析
释义 头孢唑肟

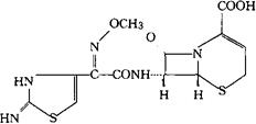
C13H13N5O5S2=383.40

CAS-68401-81-0

[6R-[6α,7β(Z)]]-7-[[2,3-二氢-2-亚氨基-4-噻唑基)(甲氧亚氨基)乙酰]氨基]-8-氧代-5-硫杂-1-氮杂双环[4.2.0]辛-2-烯-2羧酸。

[6R-[6α,7β(Z)]]-7-[[(2,3-Dihydro-2-imino-4-thiazolyl)(methoxyimino)acetyl]amino-8-oxo]-5-thia-1-azabicyclo[4.2.0]oct-2-ene-2-carboxyli cacid.

(6R-7R)-7-[2-(2亚氨基-4-噻唑啉-4-基)乙醛酰氨基]-8-氧代-5-硫杂-1-氮杂双环[4.2.0]辛-2-烯-2-羧酸-72(Z)-(O-甲基肟)。

(6R,7R)-7-[2-(2-Imino-4-thiazolin-4-yl)-glyoxylamido]-8-oxo-5-thia-1-azabicyclo[4.2.0]oct-2-ene2-carboxylic acid,72-(Z)-(O-methyloxime).

抗生素药。

用于治疗败血症、感染性心内膜炎、创伤、烧伤和烫伤的继发感染、支气管炎、肺炎肺肿、脓胸、胆管炎、胆囊炎、腹膜炎、肾盂肾炎、膀胱炎、前列腺炎、子宫附件炎、盆腔炎、脑膜炎等。

去甲噻肟头孢,头孢去甲噻肟,安保速灵,益保世灵。

Ceftizoxime,Epocelin,CFX,CTZ,CZX.

INN,BAN,DCF,DCIT,JAN,USP.

随便看

 

离鸟网收录3541549条中英文词条,其功能与新华字典、现代汉语词典、牛津高阶英汉词典等各类中英文词典类似,基本涵盖了全部常用中英文字词句的读音、释义及用法,是语言学习和写作的有利工具。

 

Copyright © 2004-2024 vtrois.com All Rights Reserved
更新时间:2026/5/27 17:13:03