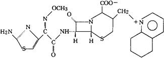
头孢喹肟
C23H24N6O5S2=528.60 CAS-84957-30-2 1-[(6R,7R)-7-[2-(2-氨基-4-噻唑基)乙醛酰胺基-2-羧-8-氧-5-硫杂-1-氮杂双环[4.2.0]辛-2-烯-3-基]甲基]-5,6,7,8-四氢喹啉鎓氢氧化物,内盐,72-(Z)(O甲基肟)。 1-[(6R,7R)-7-[2-(2-Amino-4-thiazolyl)glyoxyamido]-2-carboxy-8-oxo-5-chia-1-azabicyclo[4.2.0]oct-2-en-3yl]methyl]-5,6,7,8-tetranydroquinoliuinmhydroxide,inner salt,72(Z)-(O-methyloxime). 抗生素药,抗菌药。 头孢喹隆。 Cefquinome. INN,USAN.  |