头孢噻呋钠
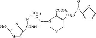
C19H16N5NaO7S3=545.54 CAS-104010-37-9 [6R-[6α,7β(Z)]]7-[[(2-氨基-4-噻唑基)(甲氧亚氨基)乙酰]氨基]-3-[[(2-呋喃羰基)硫代]甲基]-8-氧代-5-硫杂-1-氮杂双环[4.2.0]辛-2-烯-2-羧酸单钠盐。 [6R-[6α,7β(Z)]]-7-[[(2-Amimo-4-thiazolyl)(methoxyimino)acetyl]amino]-3-[[(2-furanylcarbony)thio]methyl]-8-oxo-5-thia-1-azabicyclo[4.2.0]oct-2-ene-2-carboxylci acid,monosodium salt. (6R,7R)-7-[2-(2-氨基-4-噻唑基)乙醛酰胺基]-3-(巯甲基)-8-氧代-5-硫杂-1-氮杂双环[4.2.o]辛-2-烯羧酸钠,72-(Z)-(O-甲基肟),2-呋喃甲酸酯。 Sodium(6R,7R)-7-[2-(2-amino-4-thiazolyl)gyloxylamido]-3-(mercaptomethyl)-8-oxo-5-thia-1-azabicyclo)[4.2.0]oct-2-ene-2-carboxylate,72-(Z)-(Omethyloxime),2-furoate(ester). 抗生素类药,抗菌药。 头孢替呋钠。 Ceftiofur Sodum,Naxcel,CM31-916,U-64079E. USAN.  |