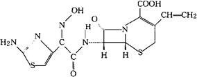
头孢地尼
C14H13N5O5S3=395.41 CAS-91832-40-5 (-)-(6R,7R)-7-[2-(2-氨基-4-噻唑基)乙醛酰氨基]-8-氧代-3-乙烯基-5-硫杂-1-氮杂双环[4.2.0]辛-2-烯-2-羧酸,72-(Z)肟。 (-)-(6R,7R)-7-[2-(2-Amino-4-thiazolyl)glyoxyamido]-8-oxo-3-vinyl-5-thia-1-azabicuclo[4.2.0]oct-2-ene-2-carboxylic acid,72-(Z)-oxime. 抗生素类药。 Cefdinir. INN,USAN.  |