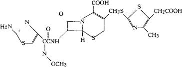
头孢地秦
C20H20N6O7S4=584.65 CAS-69739-16-8 (6R,7R)-7-[2-(2-氨基-4-噻唑基)乙醛酰胺基]-3-[[[5-(羧甲基)-4-甲基-2-噻唑基]硫代]甲基]-8-氧代-5-硫杂1-氮杂双环[4.2.0]辛-2-烯-2-羧酸72-(Z)-(O-甲基肟)。 (6R,7R)-7-[2-(2-Amino-4-thiazolyl)glyoxylamido]-3-[[[5-(carboxymethyl)-4-methyl-2-thiazolyl]thio]methyl]-8-oxo-5-thia-1-azabicyclo[4.2.0]oct-2-ene-2-carboxylic acid 72-(Z)-(O-methyloxime). 抗生素类药。适用于普通变形杆菌和Morgonella SP感染。 头孢双唑。 Cefodizime,HR221. INN,USAN.  |