网站首页  词典首页


请输入您要查询的字词:

 

字词 头孢尼西二钠
类别 中英文字词句释义及详细解析
释义 头孢尼西二钠

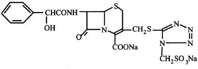
【化学名称】(6R,7R)-7-[(R)-扁桃酰胺基]-3-(1-磺基甲基四唑-5-基硫甲基)-3-头孢烯-4-羧酸二钠

【化学结构】

【药理作用】本品是静注或肌注的第二代头孢菌素。本品对革兰阴性杆菌的抗菌谱比第一代头孢菌素广,对大肠杆菌、肺炎杆菌、奇异变形杆菌、柠檬酸菌属、普罗威登斯氏菌属和肠杆菌属具有类似于头孢孟多的良好抗菌活性,但对吲哚阳性的变形杆菌、摩根氏菌、普罗威登斯氏菌和某些克雷伯菌的活性低于头孢西丁。对流感杆菌和淋球菌,包括产 β-内酰胺酶菌株,有满意的活性。与其他第二代头孢菌素一样,假单胞菌属、沙雷氏菌属和不动杆菌属对本品耐药。本品对大多数革兰阳性球菌是有效的。对金葡菌的活性类似于头孢西丁和头孢雷特,但低于头孢孟多、头孢噻吩和头孢唑啉。90% 的菌株可被本品4.0~8.3 mg/L的浓度所抑制。大多数链球菌包括肺炎链球菌、酿脓链球菌和乙型链球菌对本品是敏感的。表皮葡萄球菌对本品比较耐药。粪链球菌、金葡菌及表皮葡萄球菌耐甲氧西林菌株对本品均耐药。本品对厌氧菌的活性未进行很好研究,脆弱拟杆菌对本品是耐药的。本品对金葡菌、乙型链球菌和大肠杆菌的最小杀菌浓度(MBC)明显高于其最小抑菌浓度(MIC)。本品对Ⅰ型β-内酰胺酶是非常稳定的,但可被Ⅲa、Ⅲb和Ⅴ型β-内酰胺酶缓慢水解,而只对Ⅳ型β-内酰胺酶则是敏感的。

【药代动力学】静脉内给药1000 mg后,本品的平均血药浓度峰值通常是129~148 mg/L。500 mg和2000 mg的剂量可达到91~95 mg/L和270~341 mg/L。肌注本品亦可达到高的血药浓度峰值(给予500和1000 mg分别为49~62 mg/L和67~126 mg/L)。本品的表观分布容积是5.7~10.8L。血清中大约98%的药物是结合于蛋白质的。尽管本品与血浆蛋白高度结合,但它仍有高浓度分布于各组织中,包括外科伤口渗出液、子宫、骨、胆囊壁、胆汁、前列腺、心耳、组织间隙液和皮下脂肪。本品几乎完全随尿排泄,24h内尿回收率为84% ~98% ,主要经肾小管分泌而排泄。肾清除率为1.08~1.32L/h,总血浆清除率为1.26~1.38L/h。静脉内和肌肉内给药后,本品的血浆半衰期分别是2.6~4.6h和4.5~7.2h。与丙磺舒合用可得到较高的血药浓度峰值且半衰期延长至7.5h。严重肾功能不全病人其消除半衰期可延长至65~70h。血液透析几乎不能回收本品。

【适应证】敏感细菌引起的尿路感染、下呼吸道感染、淋病、皮肤及软组织感染、骨感染以及手术预防感染。

【剂量与用法】肌注或静注,1 g/d。需要时可增加至2 g/d,1次或分2次使用。

【临床评价】在开放或对照试验中,66% ~100% 的有并发症或无并发症的尿路感染的病人得到临床和细菌学治愈。本品每日给予1 g一次的疗效类似于头孢孟多每日4次,每次1 g。下呼吸道感染的病人用本品每日0.5~2 g,75% ~100% 的病人获得改善或治愈,优于头孢孟多,后者1d还要给药4次。肌注本品1 g一次后,91% ~100% 的淋球菌尿道炎或子宫颈炎病人获治愈。直肠淋球菌培养阳性的病人其治愈率是低的。对淋球菌尿道炎或子宫颈炎,本品的疗效相当于普鲁卡因青霉素 G。本品对产生青霉素酶的淋球菌引起的尿道炎亦是非常有效的。对皮肤和软组织感染的治愈率,本品可达95% ~100% ,通常1 g/d。在比较研究中,本品于手术前30~60 min给予1 g一次的预防作用相当于头孢西丁给药4次。而在矫形手术中,每日给予本品1次、连续3d的预防作用似乎与头孢唑啉每日3次、连续3d疗效相当。

【不良反应】最常报道的不良反应类似于其他头孢菌素和青霉素,包括轻度到中度的注射处疼痛、过敏反应、嗜酸粒细胞增多、血小板增多和肝功试验异常。白细胞减少和中性粒细胞减少分别有0.4% 和0.3% 病人发生。

【制剂规格】肌肉注射剂:500 mg或1 g,附溶解液2ml或2.5ml。静脉注射剂:500 mg或1 g,附溶解液2ml或2.5ml。

【生产厂家】日本藤泽药品工业株式会社。

随便看

 

离鸟网收录3541549条中英文词条,其功能与新华字典、现代汉语词典、牛津高阶英汉词典等各类中英文词典类似,基本涵盖了全部常用中英文字词句的读音、释义及用法,是语言学习和写作的有利工具。

 

Copyright © 2004-2024 vtrois.com All Rights Reserved
更新时间:2026/5/27 12:45:12