头孢尼西单钠
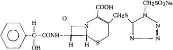
C18H17N6NaO8S3=564.54 CAS-71420-79-6 CAS-61270-58-4(cefonicidum) 5-硫杂-1-氮杂双环[4.2.0]辛-2-烯-2-羧酸,7-[(羟苯基乙酰)氨基]-8-氧-3-[[[1-(硫甲基)-1H-四唑-5-基]硫代]甲基]单钠盐,[6R-6α,7β(R)]。 5-Thia-1-azabicyclo[4.2.0]oct-2-ene-2-carboxylicacid,7-[(hydroxyphenylacetyl)amino]-8-oxo-3-[[[1-(sulfomethyl)-1H-tetrazol-5-yl]thio]methyl]-monosodium salt,[6R-6α,7β-(R)]. (6R,7R)-7-[(R)-扁桃酰胺基]-8-氧代-3-[[[1-(硫甲基)-1H-2-四唑-5-基]硫代]甲基]-5-硫杂-1-氮杂双环[4.2.0]辛-2-烯-2-羧酸-单钠盐。 (6R,7R)-7[(R)-Mandelamido]-8-oxo-3-[[[1-(sulfomethyl)-1H-2-tetrazol-5-yl]thio]methyl]-5-thia1-azabicyclo[4.2.0]oct-2-ene-2-carboxylic acid,Ssodium salt. 抗生素类药。 Cefonicid Monosodium,SK&F D-75073-Z. INN,BAN,USAN.USP.  |