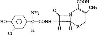
头孢屈洛
C16H16ClN3O5S=397.83 CAS-57847-69-5 (6R,7R)-7-[(R)-2-氨基-2-(3-氯-4-羟苯基)乙酰胺基]-3-甲基-8-氧-5-硫杂-1-氮杂双环[4.2.0]辛-2-烯-2-羧酸。 (6R,7R)-7-[(R)-2-Amino-2-(3-chloro-4-hydoxyphenyl)acetamindo]-3-methyl-8-oxo-5-thia-1-azabicyclo[4.2.0]oct-2-ene-2-carboxyli acid. 抗生素类药。 头孢局罗,头孢著罗。 Cefedroor,Chlorocefadroxil,BMY25154. INN,USAN.  |