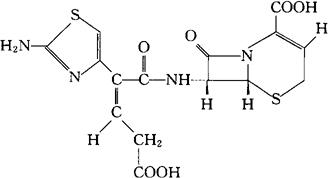
头孢布烯
C15H14N4O6S2=410.42 CAS-97519-39-6 [6R[6α,7β(Z)]]-7-[[2-(2-氨基-4-噻唑基)-4-羧-1-氧代-2-丁烯基]氨基]-8-氧代-5-硫杂-1-氮杂双环[4.2.0]辛-2-烯-2-羧酸。 [6R[6α,7β(Z)]]-7-[[2-(2-Amino-4-thiazolyl)-4-carboxy-1-oxo-2-butenyl]amino]-8-oxo-5-thia-1-azabicyclo[4.2.0]oct-2-ene-2-carboxylic acid. (+)-(6R,7R)-7-[(Z)-2-(2-氨基-4-噻唑基)-4-羧基巴豆酰胺基]-8-氧代-5-硫杂-1-氮杂双环[4.2.0]辛-2-烯-2-羧酸。 (+)-(6R,7R)-7-[(Z)-2-(2-Amino-4-thiazolyl)-4-carboxycrotonamido]-8-oxo-5-thia-1-azabicyclo[4.2.0]oct-2-ene-2-carboxylic acid. 抗生素类药。 头孢布坦。 Ceftibuten,Sch 39720,7432-S. INN,BAN,USAN.  |