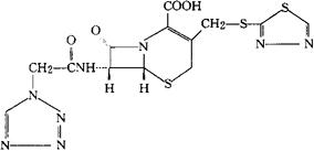
头孢替唑
C13H12N8O4S3=440.47 CAS-26973-24-0 (6R,7R)-8-氧代-7-[2-(1H-四唑-1-基)乙酰胺基]-3-[(1,3,4-噻二唑-2-基硫代)甲基]-5-硫杂-1-氮杂双环[4.2.0]辛-2-烯-2-羧酸。 (6R,7R)-8-Oxo-7-[2-(1H-tetrazol-l-yl)acetamido]-3-[(1,3,4-thiadiazol-2-ylthio)methy]-5-thia-1-azabicyclo[4.2.0]oct-2-ene-2-carboxylic acid. 抗生素类药。 去甲唑啉头孢菌素。 Ceftezole,Dimethylcefazolin,FR-10123. INN,USAN.  |