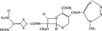
头孢替坦
C17H17N7O8S4=575.60 CAS-69712-56-7 (6R,7R)-4-[[2-羧基7-甲氧-3-[[(1-甲基-1H-四唑-5-基)硫代]甲基]-8-氧代-5-硫杂-1-氮杂双环[4.2.0]-辛-2-烯-7-基]氨基甲酰]-1,3-二硫环丁烷-△2,α-丙二酰胺酸。 (6R,7R)-4-[[2-Carboxy-7-methoxy-3-[[(1-methyl-1H-tetrazol-5-yl)thio]methy]-8-oxo-5-thia1-azabicyclo[4.2.0]oct-2-ene-7-yl]carbamoyl]-1,3-dithietane-△2,α-malonamic acid. 抗生素类药。 Cefotetan,Cefotan. INN,BAN,DCIT,JAN,USAN,MI. 
|