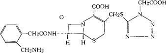
头孢来尼[中]
C20H21N7O6S2=519.55 CAS-60925-61-3 (6R,7R)-7-[2-(α-氨基-邻-甲苯基)乙酰胺基]-3-[[[1-(羧甲基)-1H-四唑-5-基]硫代]甲基]-8-氧代-5硫杂-1-氮杂双环[4.2.0]辛-2-烯-2-羧酸。 (6R,7R)-7-[2-(α-Amiino-o-tolyl)acetamido]-3-[[[1-(carboxymethyl)-1H-tetrazo[-5-yl]-thio]methyl]-8-oxo-5-thia-1-azabicyclo[4.2.0]oct-2-ene2-carboxylic acid. 抗生素类药,抗菌药。 头孢雷特。 Ceforanide,Precef. INN,BAN,USAN,USP,MI.  |