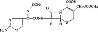
头孢氨噻肟
C16H17N5O7S2=455.48 CAS-63527-52-6 (6R,7R)-7-[2-(2-氨基-4-噻唑基)乙醛胺基]-3-(羟甲基)-8-氧代-5-硫杂-1-氮杂双环[4.2.0]辛-2-烯-2-羧酸72-(Z)-(O-甲肟)乙酸酯。 (6R,7R)-7-[2-(2-Amino-4-thiazolyl)glyoxylamido]-3-(hydroxymethyl)-8-oxo-5-thia-1-azabocyclo[4.2.0]oct-2-ene-2-carboxylic acid 72-(Z)-(Omethyloxime)acetate(ester). 抗生素类药。用于耐药性革兰氏阴性杆菌的感染。也用于败血症、心内膜炎、脑膜炎和其它全身感染。 Cefotaxime. INN,BAN,DCF,USP,MI.  |