头孢洛仑
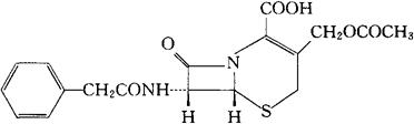
C18H18N2O6S=390.41 CAS-859-07-4 7-(苯乙酰胺基)头孢烷酸。 7-(Phenylacetamido)cephalosporanic acid. 3-(乙酰氧甲基)-8-氧代-7-(苯乙酰氨基)-5-硫杂-1-氮杂双环[4.2.0]辛-2-烯-2-羧酸。 3-(Actoxymethyl)-8-oxo-7-(phenylacetamido)-5-thia-1-azabicylo[4.2.0]oct-2-ene-2-carboxylic acid. 抗生素类药。 苄头孢菌素。 Cefaloram. INN,BAN,NFN,USAN.  |