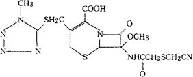
头孢甲米四唑
C17H17N7O5S3=471.52 CAS-56796-20-4 (6R,7S)-7-[2-[(氰甲基)硫代]乙酰胺基]-7-甲氧基-3-[[1-甲基1H-四唑-5-基)-硫代]甲基]-8-氧-5-硫杂-1-氮杂双环[4.2.0]辛-2-烯-2-羧酸。 (6R,7S)-7-[2-[(Cyanomethyl)thio]acetamido]-7-methoxy-3-[[(1-methyl-1H-tetrazol-5-yl)thio]methyl]-8-oxo-5-thia-1-azabicyclo[4.2.0]oct-2-ene2-carboxylic acid. 抗生素类药。 头孢四唑。 Cefmetazole. INN,JAN,USAN,MI.  |