头孢美唑钠[中]
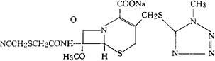
C15H16N7NaO5S3=493.51 CAS-56796-39-5 CAS-56796-20-4(cefmetazole) (6R,顺)-7-[[[(氰甲基)硫代]乙酰]氨基]-7-甲氧-3[[(1-甲基-1H-四唑-5-基)硫代]甲基]-8-氧代-5-硫杂1-氮杂双环[4.2.0]辛-2-烯-2-羧酸单钠盐。 5-Thia-1-azabicyclo[4.2.0]oct-2-ene-2-carboxylicacid,7-[[[(cyanomethyl)thio]acetyl]amino]-7-methoxy-3-[[(1-methyl-1H-tetrazol-5-yl)thio]methyl]-8-oxo-,monosodium salt,(6R,cis). (6R,7S)-7-[2-[(氰甲基)硫代]乙酰胺基]-7-甲氧基-3-[[(1-甲基-1H-四唑-5-基)硫代]甲基]-8-氧代-5-硫杂-1-氮双环[4.2.0]辛-2-烯-2-羧酸钠。 Sodium(6R,7S)-7-[2-[(cyanomethyl)thio]acetamido]-7-methoxy-3-[[(1-methyl-1H-tetrazol-5-yl)thio]methyl]-8-oxo-5-thia-1-azabicyclo[4.2.0]oct2-ene-2-carboxylate. 抗生素类药。 头孢四唑钠。 Cefmetazole Sodium,U-72791A. INN,USAN.  |