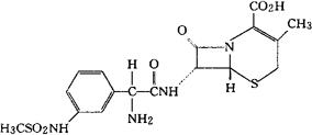
头孢舒米
C17H30N4O6S2=440.49 CAS-54818-11-0 (6R,7R)-7-[2(2R)-2-氨基-2-(间-甲亚磺酰胺苯基)乙酰氨基]-3-甲基-8-氧代-5-硫杂-1-氮杂双环[4.2.0]辛-2-烯-2-羧酸。 (6R,7R)-7-[(2R)-2-Amino-2-(m-methanesulfonamidophenyl)acetamido]-3-methyl-8-oxo-5-thia-1-azabicyclo[4.2.0]oct-2-ene-2-carboxylic acid. 抗生素类药。 头孢秀米。 Cefumide,FR10612. INN,USAN.  |