头孢菌素
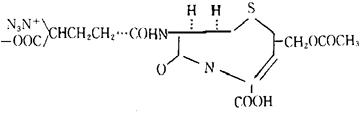
一种重要的海洋抗菌素。 它是从海洋微生物中分离出来的一种霉菌——顶头孢霉。顶头孢霉中的活性成分是一种对青霉素酶敏感的物质,它对革兰氏阴性细菌有活性,故名“抗菌素N”。对革兰氏阳性细菌有活性的其他头孢菌素,称为“头孢菌素P”。 经研究其活性最大的化合物即头孢菌素C,它也是一种抗菌素,对革兰氏阴性细菌和革兰氏阳性细菌都含广谱的活性。 这点与青霉素相似,但与青霉素不同的是,它对破坏青霉素效用的青霉素酶有抵制作用。头孢菌素C含有一个β-内酰胺-二氢噻嗪的环系,其结构为  对许多细菌都有效,无论是口服还是静脉注射,现已广泛用于临床。 |