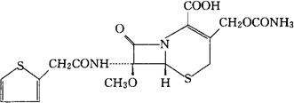
头孢西丁[中]
C16H17N3O7S2=427.45 CAS-35607-66-0 (6R,7S)-3-(羟甲基)-7-甲氧-8-氧代-7-[2-(2-噻吩基)乙酰胺基]-5-硫杂-1-氮杂双环[4.2.0]辛-2-烯-2-羧酸氨基甲酸酯。 (6R,7S)-3-(Hydroxymethyl)-7-methoxy-8-oxo-7-[2-(2-thienyl)acetamido]-5-thia-1-azabicyclo[4.2.0]oct-2-ene-2-carboxylic acid carbamte(ester). 抗生素类药。 Cefoxitin,Mefoxin. INN,BAN,DCIT,JAN,NFN,USP,MI.  |