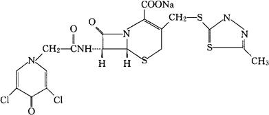
头孢西酮
C18H15Cl2N5O5S3=548.43 CAS-56187-47-4 (6R,7R)-7-[2-(3,5-二氯-4氧代-1(4H)-吡啶基)乙酰胺]-3-[[(5-甲基-1,3,4-噻二唑-2-基)硫代]甲基]-8-氧代-5-硫杂-1-氮杂双环[4.2.0]辛-2-烯-2羧酸。 (6R,7R)-7-[2-(3,5-Dichloro-4-oxo-l(4H)-pyridyl)acetamido]-3-[[(5-methyl-l,3,4-thiadiazol-2-yl)thio]methyl]-8-oxo-5-thia-l-azabicyclo[4.2.0]oct2-ene-2-carboxylic acid. 抗生素类药。 氯氮环酮头孢菌素。 Cefazedone,Relosporen,Refosporsin. INN,BAN,USAN.  |