网站首页  词典首页


请输入您要查询的字词:

 

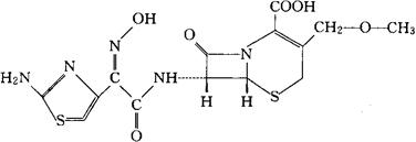
字词 头孢达肟
类别 中英文字词句释义及详细解析
释义 头孢达肟

C14H15N5O6S2=413.42

CAS-80195-36-4

(+)-(6R,7R)-7-[2-(2-氨基-4-噻唑基)乙醛酰胺基]-3-(甲氧甲基)-8-氧氮杂-5-硫杂-1-代双环[4.2.0]辛-2-烯-2-羧酸72(Z)-肟。

(+)-(6R,7R)-7-[2-(2-Amino-4-thiazolyl)glyoxylamido]-3-(methoxymethyl)-8-oxo-5-thia-1-azabicyclo[4.2.0]oct-2-ene-2-carboxylic acid,72(Z)-oxime.

抗生素类药。

Cefdaloxime.

INN,USAN.

随便看

 

离鸟网收录3541549条中英文词条,其功能与新华字典、现代汉语词典、牛津高阶英汉词典等各类中英文词典类似,基本涵盖了全部常用中英文字词句的读音、释义及用法,是语言学习和写作的有利工具。

 

Copyright © 2004-2024 vtrois.com All Rights Reserved
更新时间:2026/5/25 10:59:21