网站首页  词典首页


请输入您要查询的字词:

 

字词 奇函数和偶函数的性质
类别 中英文字词句释义及详细解析
释义 奇函数和偶函数的性质

1.定理:奇函数的图象是关于原点成中心对称,偶函数的图象是关于y轴的轴对称图形.反过来,如果一个函数的图象关于原点成中心对称图形,那么这个函数是奇函数;如果一个函数的图象关于y轴成轴对称图形,那么这个函数是偶函数.

2.若偶函数f(x)在区间[a,b](a>0)是增(减)函数,则f(x)在[—b,—a]上是减(增)函数,反之也成立;若奇函数f(x)在区间[a,b](a>0)是增(减)函数,则f(x)在[—b,—a]上是增(减)函数,反之也成立.

3.若奇函数f(x)在点x=0处有意义,则f(0)=0.

判断函数奇、偶性的方法

1.定义法

第一步

求f(x)定义域,若定义域不关于原点对称,则f(x)不具有奇偶性,若定义域关于原点对称,不一定具有奇偶性,需进行下一步.

第二步

计算f(—x)∶

若f(—x)=f(x),则f(x)为偶函数;

若f(—x)=—f(x),则f(x)为奇函数;

若f(—x)≠f(x),且f(—x)≠—f(x),

则f(x)为非奇非偶函数.

2.图象法,若图象关于原点对称,则函数为奇函数,若图象关于y轴对称,则函数为偶函数.

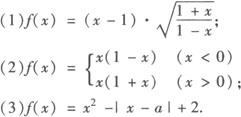
例1 判断下列函数的奇偶性.

分析 根据奇函数、偶函数的定义判断.

解 (1)选确定函数的定义域,由于,得—1≤x<1,其定义域不对称于原点,所以f(x)既不是奇函数也不是偶函数.

(2)方法一 ∵函数f(x)的定义域是(—∞,0)∪(0,+∞),并且当x>0时,—x<0,

∴f(—x)=(—x)[1—(—x)]

=—x(1+x)=—f(x)(x>0);

当x<0时,—x>0,

∴f(—x)=—x(1—x)=—f(x)(x<0).

故函数f(x)为奇函数

方法二∵f(x)=x(1+|x|)(x≠0),

∴f(—x)=—x(1+|—x|)

=—x(1+|x|)

=—f(x).

∴f(x)为奇函数.

(3)函数f(x)的定义域为R

当a=0时,f(x)=f(—x),∴f(x)是偶函数;

当a≠0时,f(a)=a2+2,f(—a)=a2—2|a|+2,

f(a)≠f(—a)且f(a)+f(—a)

=2(a2—|a|+2)

=2(|a|—1/2)2+7/2≠0,

∴f(x)为非奇非偶函数.

例2 设f(x)是定义在R上的偶函数,并在区间(—∞,0]内是增函数.试解关于a的不等式f(2a2+a+1)2—2a+1).

分析 f(x)在(—∞,0]内是增函数,2a2+a+1、3a2—2a+1在(—∞,0]内吗?能否转化到(—∞,0]内呢?

解 ∵2a2+a+1、3a2—2a+1均在(0,+∞)上,

由函数的奇偶性想到—2a2—a—1<0,

—3a2+2a—1<0.

即解f(—2a2—a—1)2+2a1),

—2a2—a—1<—3a2+2a—1,

即0

随便看

 

离鸟网收录3541549条中英文词条,其功能与新华字典、现代汉语词典、牛津高阶英汉词典等各类中英文词典类似,基本涵盖了全部常用中英文字词句的读音、释义及用法,是语言学习和写作的有利工具。

 

Copyright © 2004-2024 vtrois.com All Rights Reserved
更新时间:2026/4/7 17:37:07