网站首页  词典首页


请输入您要查询的字词:

 

字词 奈必洛尔
类别 中英文字词句释义及详细解析
释义 奈必洛尔

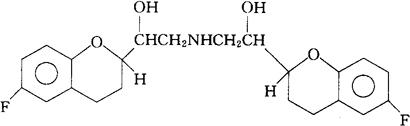
C22H25F2NO4=405.44

CAS-99200-09-6

α,α′-[亚氨基双(亚甲基)]双[6-氟-3,4-二氢-2H-1-苯并吡喃-2-甲醇。

α,α′-[Iminobis(methylene)[bis[6-fluoro-3,4-dihydro-2H-1-benzopyran-2-methanol].

α,α-(亚氨基二亚甲基)双[6-氟-2-苯并二氢吡喃甲醇]。

α,α-(Iminodimethylene)bis[6-fluoro-2-chromanmethanol].

β-受体阻滞药。

Nebivolol,R65,824.

INN,USAN.

随便看

 

离鸟网收录3541549条中英文词条,其功能与新华字典、现代汉语词典、牛津高阶英汉词典等各类中英文词典类似,基本涵盖了全部常用中英文字词句的读音、释义及用法,是语言学习和写作的有利工具。

 

Copyright © 2004-2024 vtrois.com All Rights Reserved
更新时间:2026/4/8 22:24:55