网站首页  词典首页


请输入您要查询的字词:

 

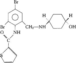
字词 奈替克新
类别 中英文字词句释义及详细解析
释义 奈替克新

C18H20Br2N2O2S=488.24

CAS-99453-84-6

4′,6′-二溴-α-[(反式-4-羟环己基)氨基]-2-噻吩-羧基-邻-酰基甲苯胺。

4′,6′-Dibromo-α-[(trans-4-hydroxycyclohexyl)amino]2-thiophenecarboxy-o-toluidide.

祛痰药。

Neltenexine.

INN,USAN.

随便看

 

离鸟网收录3541549条中英文词条,其功能与新华字典、现代汉语词典、牛津高阶英汉词典等各类中英文词典类似,基本涵盖了全部常用中英文字词句的读音、释义及用法,是语言学习和写作的有利工具。

 

Copyright © 2004-2024 vtrois.com All Rights Reserved
更新时间:2026/4/8 22:00:07