网站首页  词典首页


请输入您要查询的字词:

 

字词 奈比腙
类别 中英文字词句释义及详细解析
释义 奈比腙

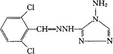
C9H8Cl2N6=344.33

CAS-55248-23-2

2,6-二氯苯甲醛(4-氨基-4H-1,2,4-三唑-3-基)腙。

2,6-Dichlorobenzaldehyde(4-amino-4H-1,2,4-triazol-3-yl)hydrazone.

抗高血压药。

奈必卓精。

Nebidrazin,FLA 136.

INN,USAN.

随便看

 

离鸟网收录3541549条中英文词条,其功能与新华字典、现代汉语词典、牛津高阶英汉词典等各类中英文词典类似,基本涵盖了全部常用中英文字词句的读音、释义及用法,是语言学习和写作的有利工具。

 

Copyright © 2004-2024 vtrois.com All Rights Reserved
更新时间:2026/5/27 21:32:43