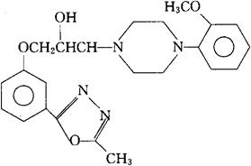
奈沙地尔
C23H28N4O4=424.50 CAS-90326-85-5 (±)-1-[4-(邻-甲氧苯基)-1-哌嗪]-3-[间-(5-甲基-1,3,4-噁二唑-2-基)苯氧]-2-丙醇。 (±)-1-[4-(o-Methoxyphenyl)-1-piperazinyl-]-3-[m(5-methyl-1,3,4-oxadiazol-2-yl)phenoxy]-2-propano 4-(2-甲氧苯基)-α-[[3-(5-甲基-1,3,4-氧杂二唑-2-基)苯氧]甲基]-1-哌嗪乙醇。 4-(2-Methoxyphenyl)-α-[[3-(5-methyl-1,3,4-oxadiazol-2-yl)-phenoxy]methyl]-1-piperazineethanol. 抗高血压药。 Nesapidil. INN,USAN. 
|