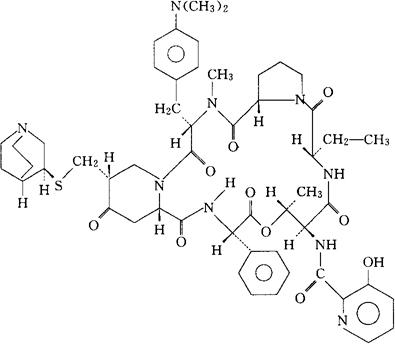
奎宁普丁
C53H67N9O10S=1022.23 CAS-120138-50-3 N-[(6R,9S,10R,13S,15aS,22S,24aS)-22-[对-(二甲氨基)苄基]-6-乙基二十二氢-10,23-二甲基-5,8,12,15,17,21,24-七氧代-13-苯基-18-[[(3S)-奎宁环硫基]甲基]-12H-吡啶并[2,1-f]-吡咯并[2,1-1][1,4,7,10,13,16]氧杂五氮杂环十九炔-9-基]-3-羟甲吡啶酰胺。 N-[(6R,9S,10R,13S,15aS,22S,24aS)-22-[p(Dimethylamino)benzyl]-6-ethyldocosahydro-10,23-dimethyl-5,8,12,15,17,21,24-heptaoxo-13-phenyl-18-[[(3S)-quinuclidinylthio]methyl]-12Hpyrido[2,1-f]-pyrrolo[2,1-l][1,4,7,10,13,16]oxapentaazacyclononadecin-9-yl]-3-hydroxypicolinamide. 抗菌药。 Quinupristin. INN,USAN. 
|