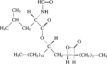
奥利帕酯
C29H53NO5=495.74 CAS-96829-58-2 [2S-[2α(R*),3β]]-N-甲酰-L-亮氨酸,1-[(3-己基-4-氧代-2-氧杂环丁烷基)甲基]十二烷酯。 [2S-[2α(R*),3β]]-N-Formyl-L-leucine,1-[(3-hexyl-4-oxo-2-oxetanyl)methyl]dodecyl ester. N-甲酰-L-亮氨酸,与(3S,4S)-3-己基-4-[(2S)-2-羟基十三烷基]-2-氧杂环丁烷形成的酯。 N-Formyl-L-leucine,ester with(3S,4S)-3-hexyl-4-[(2S)-2-hydroxytridecyl]-2-oxetanone. 酶脂肪酵素抑制药。 Orlipastat,Ro 18-0647/002. INN,USAN. 
|