网站首页  词典首页


请输入您要查询的字词:

 

字词 奥卡哌酮
类别 中英文字词句释义及详细解析
释义 奥卡哌酮

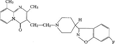
C24H25FN4O2=420.49

CAS-129029-23-8

3-[2-[4-(6-氟-1,2-苯并异噁唑-3-基)哌啶基]乙基]-2,9-二甲基-4-吡啶并[1,2-a]嘧啶-4-酮。

3-[2-[4-(6-Fluoro-1,2-benzisoxazol-3-yl]piperidino]ethyl]-2,-9-dimethyl-4H-pyrido[1,2-a]pyrimidin-4-one.

抗精神病药。

Ocaperidone.

INN,USAN.

随便看

 

离鸟网收录3541549条中英文词条,其功能与新华字典、现代汉语词典、牛津高阶英汉词典等各类中英文词典类似,基本涵盖了全部常用中英文字词句的读音、释义及用法,是语言学习和写作的有利工具。

 

Copyright © 2004-2024 vtrois.com All Rights Reserved
更新时间:2026/5/25 10:16:53